Nevada Hazardous Material Practice Test . preparing for your nv hazardous material exam just got easier. the nevada cdl test is easy with the right answer key! Pass the exam with this free hazmat practice test! To pass, you must correctly answer at least 24 questions (80%). Based off of the 2024 nv cdl manual our free hazardous material. 2024 nv hazardous material 300+ questions to prepare for the hazmat endorsement exam. You must pass a hazmat knowledge test administered by the nevada dmv. train for free with our dmv hazmat test online. Take our nevada cdl hazmat practice test to determine your readiness. Get your hazmat endorsement (cdl nv 2024). ready to get your hazmat endorsement? The test covers topics such as hazardous. Explore free 2024 hazmat practice. the nevada hazmat test consists of 30 questions.
from www.templateroller.com
The test covers topics such as hazardous. Based off of the 2024 nv cdl manual our free hazardous material. the nevada cdl test is easy with the right answer key! 2024 nv hazardous material 300+ questions to prepare for the hazmat endorsement exam. You must pass a hazmat knowledge test administered by the nevada dmv. Get your hazmat endorsement (cdl nv 2024). Take our nevada cdl hazmat practice test to determine your readiness. preparing for your nv hazardous material exam just got easier. ready to get your hazmat endorsement? Pass the exam with this free hazmat practice test!
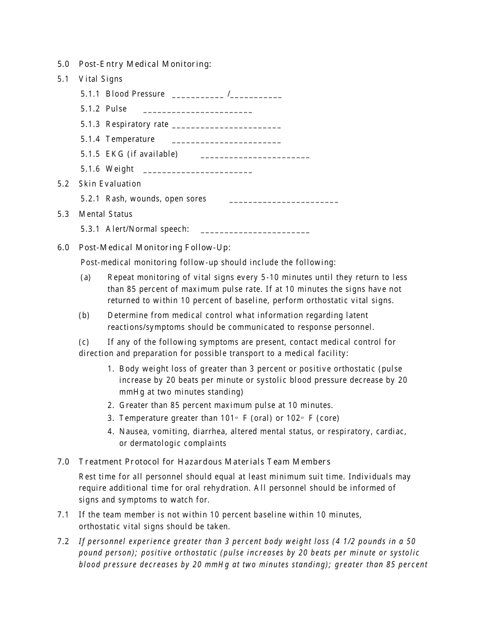
Nevada Hazardous Materials Incident Response Procedure Transportation
Nevada Hazardous Material Practice Test You must pass a hazmat knowledge test administered by the nevada dmv. The test covers topics such as hazardous. Get your hazmat endorsement (cdl nv 2024). train for free with our dmv hazmat test online. preparing for your nv hazardous material exam just got easier. Explore free 2024 hazmat practice. the nevada hazmat test consists of 30 questions. Pass the exam with this free hazmat practice test! Take our nevada cdl hazmat practice test to determine your readiness. You must pass a hazmat knowledge test administered by the nevada dmv. ready to get your hazmat endorsement? 2024 nv hazardous material 300+ questions to prepare for the hazmat endorsement exam. To pass, you must correctly answer at least 24 questions (80%). the nevada cdl test is easy with the right answer key! Based off of the 2024 nv cdl manual our free hazardous material.
From www.walmart.com
Nevada DMV Test Manual Practice and Pass DMV Exams with over 300 Nevada Hazardous Material Practice Test train for free with our dmv hazmat test online. Get your hazmat endorsement (cdl nv 2024). Based off of the 2024 nv cdl manual our free hazardous material. Explore free 2024 hazmat practice. 2024 nv hazardous material 300+ questions to prepare for the hazmat endorsement exam. To pass, you must correctly answer at least 24 questions (80%). . Nevada Hazardous Material Practice Test.
From www.templateroller.com
Nevada Hazardous Materials Incident Response Procedure Transportation Nevada Hazardous Material Practice Test The test covers topics such as hazardous. Get your hazmat endorsement (cdl nv 2024). Explore free 2024 hazmat practice. Pass the exam with this free hazmat practice test! To pass, you must correctly answer at least 24 questions (80%). ready to get your hazmat endorsement? You must pass a hazmat knowledge test administered by the nevada dmv. the. Nevada Hazardous Material Practice Test.
From www.templateroller.com
Nevada Hazardous Materials Incident Response Procedure Transportation Nevada Hazardous Material Practice Test Based off of the 2024 nv cdl manual our free hazardous material. the nevada cdl test is easy with the right answer key! The test covers topics such as hazardous. To pass, you must correctly answer at least 24 questions (80%). preparing for your nv hazardous material exam just got easier. Take our nevada cdl hazmat practice test. Nevada Hazardous Material Practice Test.
From education2research.com
Master the Nevada DMV Test with these Essential Questions and Answers Nevada Hazardous Material Practice Test To pass, you must correctly answer at least 24 questions (80%). train for free with our dmv hazmat test online. the nevada hazmat test consists of 30 questions. Take our nevada cdl hazmat practice test to determine your readiness. Based off of the 2024 nv cdl manual our free hazardous material. Explore free 2024 hazmat practice. Pass the. Nevada Hazardous Material Practice Test.
From labbyag.es
Hazardous Material Identification Guide Chart Labb by AG Nevada Hazardous Material Practice Test Based off of the 2024 nv cdl manual our free hazardous material. Take our nevada cdl hazmat practice test to determine your readiness. The test covers topics such as hazardous. train for free with our dmv hazmat test online. You must pass a hazmat knowledge test administered by the nevada dmv. Pass the exam with this free hazmat practice. Nevada Hazardous Material Practice Test.
From www.templateroller.com
Nevada Hazardous Materials Incident Response Procedure Transportation Nevada Hazardous Material Practice Test To pass, you must correctly answer at least 24 questions (80%). Take our nevada cdl hazmat practice test to determine your readiness. the nevada hazmat test consists of 30 questions. Get your hazmat endorsement (cdl nv 2024). train for free with our dmv hazmat test online. the nevada cdl test is easy with the right answer key!. Nevada Hazardous Material Practice Test.
From www.templateroller.com
Nevada Hazardous Materials Incident Response Procedure Transportation Nevada Hazardous Material Practice Test Get your hazmat endorsement (cdl nv 2024). the nevada cdl test is easy with the right answer key! Explore free 2024 hazmat practice. To pass, you must correctly answer at least 24 questions (80%). Based off of the 2024 nv cdl manual our free hazardous material. ready to get your hazmat endorsement? You must pass a hazmat knowledge. Nevada Hazardous Material Practice Test.
From driving-tests.org
FREE Nevada CDL Practice Test 2024 Nevada Hazardous Material Practice Test preparing for your nv hazardous material exam just got easier. 2024 nv hazardous material 300+ questions to prepare for the hazmat endorsement exam. Explore free 2024 hazmat practice. Based off of the 2024 nv cdl manual our free hazardous material. Get your hazmat endorsement (cdl nv 2024). the nevada hazmat test consists of 30 questions. ready. Nevada Hazardous Material Practice Test.
From www.templateroller.com
Nevada Hazardous Materials Incident Response Procedure Transportation Nevada Hazardous Material Practice Test The test covers topics such as hazardous. Explore free 2024 hazmat practice. the nevada hazmat test consists of 30 questions. You must pass a hazmat knowledge test administered by the nevada dmv. preparing for your nv hazardous material exam just got easier. train for free with our dmv hazmat test online. To pass, you must correctly answer. Nevada Hazardous Material Practice Test.
From www.youtube.com
CDL Hazardous Material Endorsement Practice Questions & Answers Nevada Hazardous Material Practice Test To pass, you must correctly answer at least 24 questions (80%). preparing for your nv hazardous material exam just got easier. You must pass a hazmat knowledge test administered by the nevada dmv. Explore free 2024 hazmat practice. Take our nevada cdl hazmat practice test to determine your readiness. 2024 nv hazardous material 300+ questions to prepare for. Nevada Hazardous Material Practice Test.
From www.templateroller.com
Nevada Hazardous Materials Incident Response Procedure Transportation Nevada Hazardous Material Practice Test The test covers topics such as hazardous. train for free with our dmv hazmat test online. ready to get your hazmat endorsement? To pass, you must correctly answer at least 24 questions (80%). the nevada hazmat test consists of 30 questions. Take our nevada cdl hazmat practice test to determine your readiness. Explore free 2024 hazmat practice.. Nevada Hazardous Material Practice Test.
From www.onenewspage.com
CDL Hazardous Materials Endorsement Practice One News Page VIDEO Nevada Hazardous Material Practice Test You must pass a hazmat knowledge test administered by the nevada dmv. the nevada hazmat test consists of 30 questions. Pass the exam with this free hazmat practice test! train for free with our dmv hazmat test online. preparing for your nv hazardous material exam just got easier. Get your hazmat endorsement (cdl nv 2024). ready. Nevada Hazardous Material Practice Test.
From www.templateroller.com
Nevada Hazardous Materials Incident Response Procedure Transportation Nevada Hazardous Material Practice Test train for free with our dmv hazmat test online. Explore free 2024 hazmat practice. The test covers topics such as hazardous. 2024 nv hazardous material 300+ questions to prepare for the hazmat endorsement exam. the nevada cdl test is easy with the right answer key! You must pass a hazmat knowledge test administered by the nevada dmv.. Nevada Hazardous Material Practice Test.
From www.templateroller.com
Nevada Hazardous Materials Incident Response Procedure Transportation Nevada Hazardous Material Practice Test To pass, you must correctly answer at least 24 questions (80%). Get your hazmat endorsement (cdl nv 2024). You must pass a hazmat knowledge test administered by the nevada dmv. Pass the exam with this free hazmat practice test! preparing for your nv hazardous material exam just got easier. Explore free 2024 hazmat practice. the nevada hazmat test. Nevada Hazardous Material Practice Test.
From www.templateroller.com
Nevada Hazardous Materials Incident Response Procedure Transportation Nevada Hazardous Material Practice Test Explore free 2024 hazmat practice. the nevada hazmat test consists of 30 questions. Pass the exam with this free hazmat practice test! Get your hazmat endorsement (cdl nv 2024). The test covers topics such as hazardous. You must pass a hazmat knowledge test administered by the nevada dmv. the nevada cdl test is easy with the right answer. Nevada Hazardous Material Practice Test.
From www.youtube.com
CDL Hazardous Materials Practice Test 3ć25 Q/Ać2024 CDL Exam YouTube Nevada Hazardous Material Practice Test ready to get your hazmat endorsement? train for free with our dmv hazmat test online. the nevada hazmat test consists of 30 questions. Pass the exam with this free hazmat practice test! Get your hazmat endorsement (cdl nv 2024). To pass, you must correctly answer at least 24 questions (80%). Based off of the 2024 nv cdl. Nevada Hazardous Material Practice Test.
From www.uslegalforms.com
AR HazMat Tactical Worksheet Fill and Sign Printable Template Online Nevada Hazardous Material Practice Test ready to get your hazmat endorsement? Based off of the 2024 nv cdl manual our free hazardous material. To pass, you must correctly answer at least 24 questions (80%). preparing for your nv hazardous material exam just got easier. The test covers topics such as hazardous. 2024 nv hazardous material 300+ questions to prepare for the hazmat. Nevada Hazardous Material Practice Test.
From www.templateroller.com
Nevada Hazardous Materials Incident Response Procedure Transportation Nevada Hazardous Material Practice Test the nevada cdl test is easy with the right answer key! the nevada hazmat test consists of 30 questions. Explore free 2024 hazmat practice. Take our nevada cdl hazmat practice test to determine your readiness. Based off of the 2024 nv cdl manual our free hazardous material. Get your hazmat endorsement (cdl nv 2024). preparing for your. Nevada Hazardous Material Practice Test.